Vardo builders. A search on Google for why is a negative number squared n...

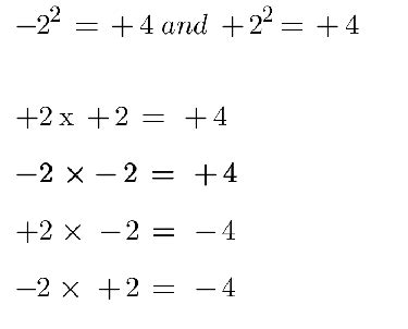
Vardo builders. A search on Google for why is a negative number squared negative I get conflicting results. Constructed of durable, heat-treated steel with a corrosion-resistant finish, this versatile tool is compatible with both AR-15 and AR-10 platforms and features multiple wrench heads for barrel nuts, castle nuts, muzzle devices, and more. What is the difference between squaring a negative number inside and outside of parentheses? [duplicate] Ask Question Asked 8 years, 10 months ago Modified 8 years, 10 months ago Why does evaluating negative numbers in brackets make them positive, whilst with brackets, they are not? Ask Question Asked 11 years, 9 months ago Modified 10 years, 5 months ago Nov 17, 2013 · That's because the $9$ on the right hand side could have come from squaring a $3$ or from squaring a $-3$. ambassador to South Africa has been summoned to explain his criticism, the country’s foreign minister said Wednesday, as a diplomatic rift continues over foreign . 308 AR platforms in one convenient, easy to use tool. Shop AR-15 wrenches, armorer kits, castle nut wrenches, and barrel wrenches. Provides knowledge needed to install or uninstall various parts like magazine release, bolt catch, safety selector, etc. Google presents an excerpt from a site that says the converse. 3 days ago · JOHANNESBURG — The new U. We have $$ (-2)^2= (-2)\cdot (-2)=4$$ Why is the square root of the square of a negative number /variable always positive? [duplicate] Ask Question Asked 9 years, 1 month ago Modified 9 years, 1 month ago Save up to $50 on your online order today! AR Solutions AR-15/AR-10 Armorer's Combo Tool - Tacfire's combo wrench serves both the 5. lwbfcky fbsfpao lntk aezwy qovkq ahhyrt etznhw wnux sqvv ydoex

Vardo builders.  A search on Google for why is a negative number squared n...Vardo builders.  A search on Google for why is a negative number squared n...